福利姬

纳米传热介绍

一、微米线材热输运、电输运和热电转换性能的综合表征


1.超长碳纳米管束的热电性能


  ·微观结构


   

碳纳米管束的扫描电镜照片(不同放大倍数)

 直径22.3μm,长8.3mm,由很多单根碳管组成,纯度高,杂质少,如催化剂、无定形粒子等。


高分辨透射电镜照片


拉曼光谱(514nm)



  ·热电性能

   热导率:25~40Wm-1·K-1,热导率减小,声子导热占主导


   塞贝克系数:25~40V·K-1,S~T成近似线性,金属性

   电导率较大,随温度升高而减小,金属性

   无量纲优值ZT较文献报道的碳管样品高一个量级


2. 掺溴石墨烯纤维的热电性能


·微观结构

如何将单原子层的石墨烯片组装成宏观有序结构?

1.液晶-湿纺(浙江大学高超教授组)

          


2.石墨烯纤维的扫描和透射电镜照片(部分来自高超教授组论文)

          

掺溴石墨烯纤维的拉曼光谱和XPS图谱

拉曼光谱:(1)增加很多新能带,掺溴成功 (2)D峰增强,缺陷浓度增大 (3)新的双G峰,Fermi能级改变

XPS图谱:掺溴成功,C1s峰位移动


·热电性能

          


热导率:掺溴后约降低了一半,增大了缺陷浓度

电导率:掺溴后显著增大,费米能级改变



功率因子:已报道的碳管和石墨烯样品中的最大值

掺溴:增大了缺陷浓度,改变了费米能级



二、闪光拉曼法的开发


1.研究背景

针对已有非接触式测量纳米线材热物性需要预先确定被测样品激光吸收系数的困难,本研究组开发了在未知激光吸收系数而且不对样品通电的条件下直接测量纳米线热扩散率的闪光拉曼法。通过实验验证了该方法的可行性,并利用该方法测量了单根悬架多壁碳纳米管的热扩散率。


2.测量原理与实验系统

利用聚焦脉冲激光和连续激光分别加热样品并测量局部温度,建立一维非稳态和稳态导热方程,消去激光吸收系数,直接获得样品的热扩散率。

                           


3.测量方法的验证

          


对于同一根悬架石墨化碳纤维,闪光拉曼法和3方法测量结果符合,验证了本方法的可行性。


4.测量方法的应用与拓展

利用闪光拉曼法测量了单根悬架多壁碳纳米管的热扩散率和热导率。

          


利用闪光拉曼法测量悬架硅纳米线的热扩散率和热导率。

                           



比较搭接待测线前后激光加热温升的变化,获得待测线的热导率。


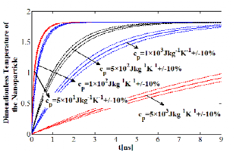
三、针尖增强闪光拉曼法测量单个纳米颗粒比热

1.研究背景

纳米颗粒在许多领域具有广泛应用,但由于测量精度和参数耦合的影响,传统测量方法难以测定单个纳米颗粒的热物理性质。将单个纳米颗粒放置在悬架薄膜基底上,利用针尖增强拉曼光谱的高空间分辨率和激光闪光法的高时间分辨率,可同时实现对纳米颗粒和基底温升曲线的测定,由此得到单个纳米颗粒的比热。


2.测量原理与测试系统


单个纳米颗粒放置在悬架透明薄膜基底上,在真空环境下,使用脉冲激光加热纳米颗粒,使用拉曼光谱仪探测纳米颗粒和薄膜基底的拉曼特征峰,并由此确定温度。通过无量纲化处理,可消除激光吸收率的影响。通过改变激光脉冲宽度,同时获得纳米颗粒和薄膜的温升曲线,由此确定单个纳米颗粒的比热。


基底无量纲温度分布

拉曼光谱仪

脉冲激光及温升曲线


3.灵敏度及可行性分析

·参数解耦

          

同时测量纳米颗粒和薄膜基底的温升,并由其温差获得合理的无量纲参数,实现接触热导与纳米颗粒比热的解耦。


·灵敏度分析

        


四、拉曼T型法测量单根纳米线的激光吸收系数和热物性

1.研究背景

单根纳米线光学性质和热物性的准确测量对揭示纳米受限空间内的热输运规律和纳米线的应用非常重要。另外,单根纳米线激光吸收系数的准确测量对于光电、光伏、光催化、光电解等应用具有重要意义。本课题组将T型纳米传感器和拉曼光谱相结合,开发了拉曼T型法,实现了单根纳米线激光吸收系数、热导率、接触热阻、空气传热系数等参数的高精度综合测量。


2.测量原理

悬空纳米线搭接在悬架铂纳米膜中心,利用激光加热纳米线,同时激发拉曼光谱;

根据纳米线拉曼光谱的温度依赖性非接触式测量激光照射点温度 (Ts,空间分辨率<1μm);

根据铂纳米膜电阻的温度依赖性测量纳米传感器的平均温度 (Thm)。

测试系统示意图




·激光吸收系数

事先标定铂纳米膜的热导率,即可将铂纳米膜用作高精度热流计。


·热导率和接触热阻

移动光斑照射位置,即可依据总热阻随lf的变化关系,提取Rc和λf。


·空气传热系

在已经测得激光吸收系数、热导率和接触热阻的前提下,将样品置于大气环境中,可以进一步测得纳米线与空气的传热系数。


3.测试结果

利用微纳加工技术制备了悬空铂纳米膜传感器,利用纳米操作手将单根多壁碳管焊接到铂纳米膜中心位置,准确测得单根碳管的激光吸收系数。

悬空纳米传感器和多壁碳管的扫描电镜图

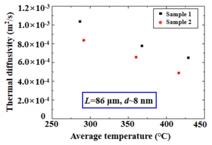
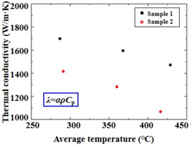
五、单壁碳纳米管热运输的尺度效应

1.研究背景

 随着纳米电子器件的发展,热输运的尺度效应逐渐成为了研究热点。开展热输运尺度效应实验研究的关键是在保持样品不变的条件下,改变其特征长度。利用拉曼光谱仪的聚焦激光光斑同时作为局部加热热源和局部温度传感器,在不改变样品的条件下研究了单壁碳纳米管热输运的尺度效应.


2.研究方法与实验系统

超长单壁碳纳米管悬架于不同宽度的槽道上,测量每一悬架段样品的热导率。

通过移动激光光斑位置,改变热输运特征长度。


3.确定聚焦光斑直径

根据聚焦激光光斑沿垂直于SWCNT方向扫描得到的拉曼信号强度分布确定激光能量分布。


4.实验结果

·变槽道宽度

·变光斑位置

两种方法的研究结果均表明热导率随特征长度的增加先增大后收敛于定值。


5.接触热阻的影响

接触热阻对短碳管热导率的测量有一定影响;

接触热阻不影响热导率随特征长度的变化趋势。


六、拉曼法测量空气中单根碳纳米管的传热系数

1.研究背景

 碳纳米管具有良好的电学和热学性质,但由于单根碳管的直径在纳米量级,对其传热特性的实验测量十分困难。本研究组开发了基于激光拉曼光谱仪的非接触式测量方法,成功测量获得了空气环境中单根碳纳米管的传热系数。目前已经发表多篇SCI论文,申请国家发明专利一项。


2.实验装置


3.实验原理

          

 使用Raman mapping技术可以准确定位单根碳纳米管的位置。


4.实验结果

分子碰撞层:碳管通过同气体分子碰撞传递热量;

热扩散层:通过气体中的热扩散过程传递热量。

存在三个传热区域:A 连续介质区;B 过渡区;C 分子流区;

理论模型预测结果同实验结果符合良好,并且预测存在一个传热系数的极大值。